首页>新闻频道>要闻 > 内容详情

362分!最低录取资格线公布!济南中考一分一段表来了!

2021-06-29 16:51:24  大字体 小字体 扫码带走
打印

6月29日下午,济南市教育局召开新闻发布会,公布济南市2021年高中阶段学校招生考试相关情况。

  

2021年济南市(不含莱芜区、钢城区)九年级初中学业水平考试共报名参加考试63078人,普通高中学校招生计划共计41288人,普通高中志愿填报资格线为362分

  

今年中考招生录取时间为7月5日至7月25日。填报志愿录取进程分为三个批次,第一批次志愿填报时间为7月5日至7月6日,第二批次为7月14日至7月15日,第三批次为7月22日。

 

 

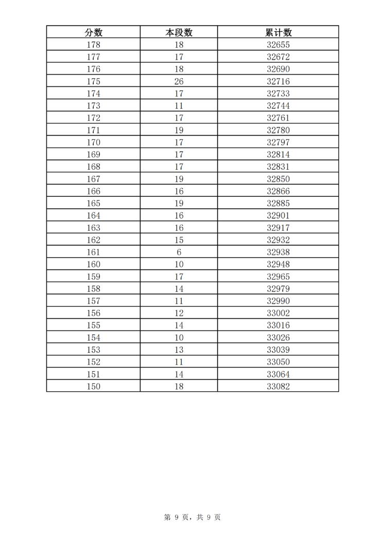
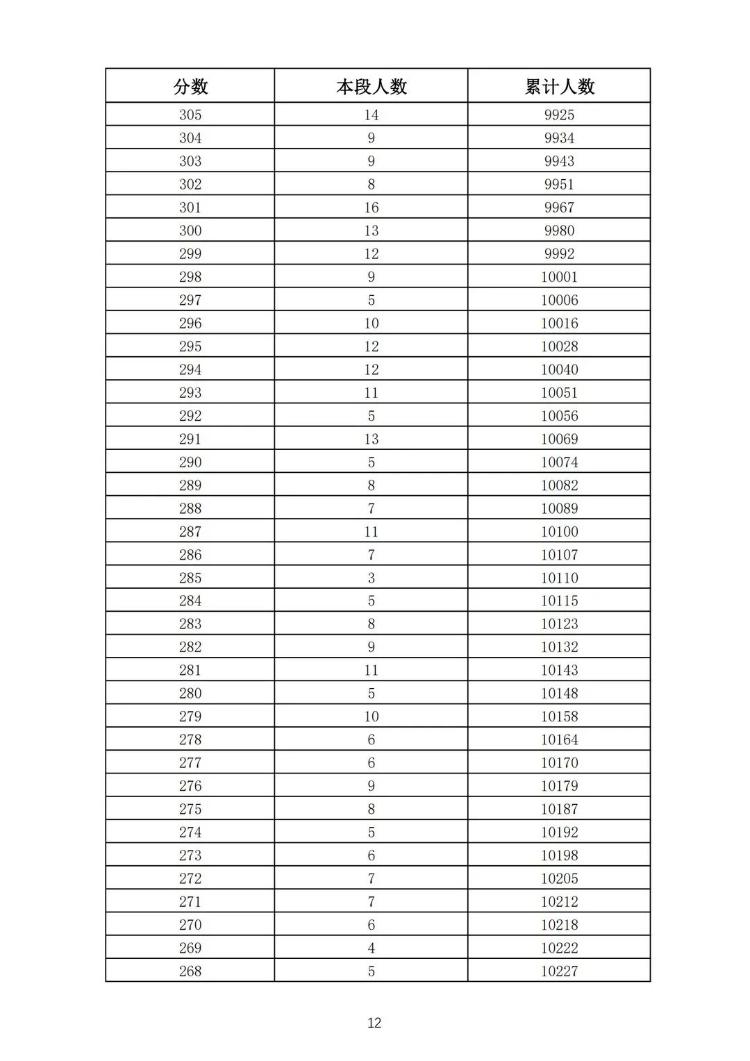
一分一段表公布

 

原济南地区:

原莱芜地区:


 
山东商报·速豹新闻网记者 张雯雯
速豹新闻网·山东商报编辑:王莹